OCR Physics

Gravitational Fields
Any object with mass has a gravitational field around it.
If we put another mass in the gravitational field, the two gravitational fields interact and the objects apply an attractive force on each other.
The direction of this force is towards the centre of mass of each object.
Hence we can assume each object is just a point mass.

According to newton’s 3rd law these forces are equal in magnitude and opposite in direction.
Gravitational field lines:
Field lines always are towards the centre of mass of an object.

Field lines around a spherical object form a radial field.
As the distance between the field lines increases, the field strength decreases!
Near the surface of the earth field lines are parallel and equidistance. Hence we have a uniform field there.
5.4.1 Newton’s law of gravitation
Two objects with masses M and m, apply an attractive force F on each other.

The negative sign shows the gravitational force is always attractive.
The force has infinite range, but practically cannot be felt in large distances.
F and r follow inverse square law.
F and form a straight line relationship:

5.4.2 Gravitational field strength
Gravitational field strength is gravitational force applied per unit mass.
Or you can use the concept of “test mass”.
Test mass = mass of 1 kg.
So gravitational field strength is the gravitational force on a test mass in a gravitational field!

Substituting the Newton’s gravitational law:

Gravitational field strength is a vector quantity. So is displacement r.
The minus sign here too means direction of g is towards the centre of mass of the object creating the field, and opposite to the direction of r.
Near the surface of the Earth g = 9.81 m/s2. This value varies slightly from place to place.
Example 1:
If we consider the Earth as a point mass, calculate the magnitude of gravitational field strength at the centre of the Earth due to gravitational fields from the Sun and Mars when:
- The sun, Earth and Mars are all on a straight line. In this case the distance between the Earth and Mars is 54.6 × 106 km, and the distance between the Earth and the Sun is 150 × 106 km.
- Lines connecting the centres of mass of the sun and the Earth, and Mars and the Earth, subtends an angle of 90o. At this position the distance between the Earth and Mars is 107 × 106 km, and the distance between the Earth and the Sun is still 150 × 106 km.
Mass of the Sun: 1.98 × 1030 kg
Mass of Mars: 6.39 × 1023 kg
When we need the magnitude of the gravitational force or field strength we do not need the minus sign.

Solution:
Note we do not need the mass of the Earth! As we assume there is a test mass (m = 1 kg) at the centre of the earth, and we will find the gravitational force due to sun and Mars on this test mass.
The gravitational force on a mass of 1 kg is the gravitational field strength!

Note: if the angle was not 90o we could use sine or cosine rule.

Note: area under the force-distance graph is work done on the object!
5.4.3 Planetary motion
Planet’s orbital path is not a circle. But it is an ellipse.
An ellipse has two centres, called focus point, plural foci.

The closer the foci, the more the ellipse will look like a circle.
The two foci of planetary orbits is close to each to other, so for calculations we assume it is a circle!
5.4.3-1 Kepler’s Laws
Kepler’s 1st law:
Orbit of plants is an ellipse with the Sun at one of the foci.
Kepler’s 2nd law:
A line segment joining a planet and the Sun sweeps out equal areas in equal time intervals.

This implies: As a planet orbits the Sun in an elliptical path, it moves faster when it is closer to the Sun (perihelion) and slower when it is farther from the Sun (aphelion).
Kepler’s 3rd law:
Square of orbital period of a planet is directly proportional to cube of its distance to the Sun.
Derivation of Kepler’s 3rd Law:
The centripetal force of a planet’s comes from gravitational force between the planet and the Sun.

Note: Kepler’s laws applies to all objects orbiting a larger object in the space.
e.g. satellites and moons orbiting a planet.
5.4.3.-2 Satellites
Satellites’ speed only depends on their distance from the earth, not their mass. Meaning all satellites in the same orbit, travel with the same speed regardless of their mass.

The closer the satellite to the earth, the faster it has to go not fall to the earth!
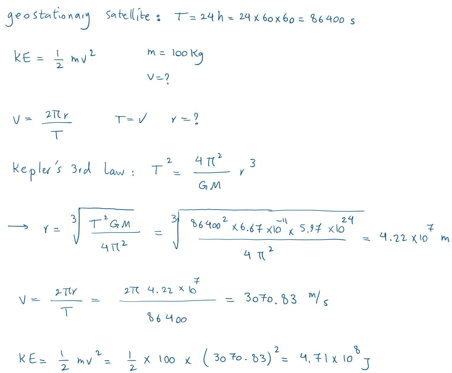
Geostationary satellites:
According to Kepler’s 3rd law time period of a satellite depends on its distance from the Earth.
If put satellites at a distance of about 4.22 107m from the surface of the Earth, the time period will be 24 hours (you can calculate this)!
Geosynchronous satellite: any satellite with time period of 24 hours.
Geostationary satellite: a geosynchronous satellite that is right above the equator, and moves in the same direction as the Earth.
Applications of geostationary satellites:
- Communication;
- Weather monitoring;
- Satellite radio and television.

Example 2:
Calculate the kinetic energy of a geostationary satellite with mass of 100 kg.
Mass of the Earth = 5.97 × 1024 kg.
5.4.4 Gravitational potential (Vg)
Gravitational potential: is the amount of work per unit mass to bring an object from infinity to a point in a gravitational field.
Vg is a scalar quantity.

Why gravitational potential is negative?
Gravitational force is always attractive. So it takes work to separate object. So when we take an object to a point far far away (infinity) the amount of work done is maximum.
We say this maximum energy at infinity is zero! Because at infinity the gravitational field strength is zero! So to move the objects closer, work done is negative! Or in other words we do not do any work to bring masses close to each other, because gravity is already attractive. Hence the work done is negative.

To take an object from point P to infinity we are working against the gravitational field. Hence work done is positive.
But to take the object from infinity to point P, work done is negative.
Energy needed to take unit mass from P to infinity is 50 MJ.
Energy needed for 2 kg mass is 2 × 50 MJ = 100 MJ.
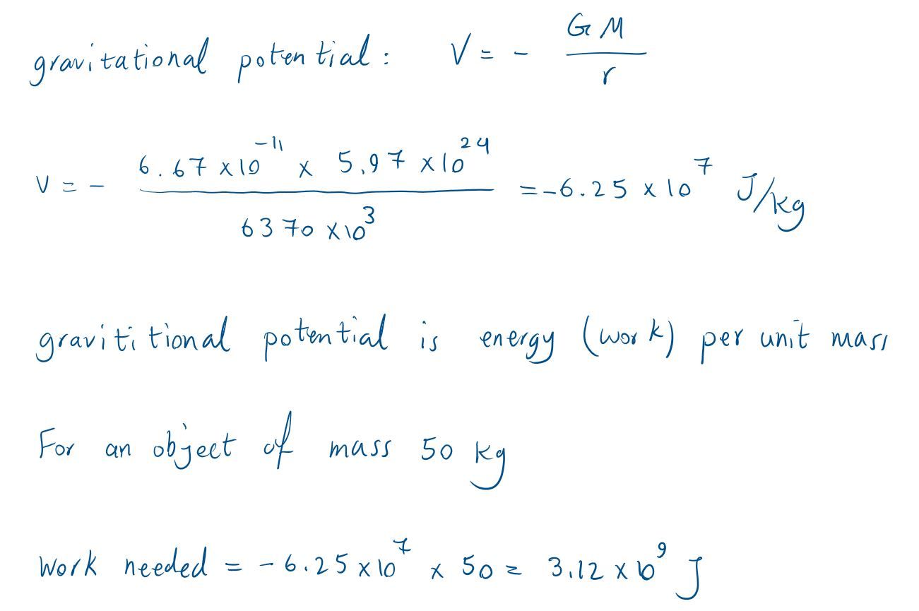
Example 3:
Calculate the amount of work needed to bring an object of mass 50 kg from infinity to the surface of the Earth.
Mass of the Earth = 5.97 × 1024 kg;
Radius of the Earth = 6370 km.
The value of -6.25 × 107 J/kg is also the gravitational potential at the surface of the Earth!
Variation of Vg with distance from the centre of the Earth:

Variation of Vg in a journey from the Earth to the Moon:
As we go further away from the Earth, Vg increases, until point P, where due to gravity of the Moon, Vg decreases again.
Vg is a scalar quantity, so at any point total Vg is the algebraic sum of the values of Vg from each mass creating a gravitational field.

5.4.4-1 gravitational potential energy (Ep)
Near Earth’s surface:
We assume there is a uniform gravitational field near Earth’s surface and the gravitational field strength is g = 9.81 m/s2.
So Ep is just Ep = mgh.
Ep at large distance from a planet:
At large distances from the Earth g gets weaker. So to find Ep we need to find Vg first.
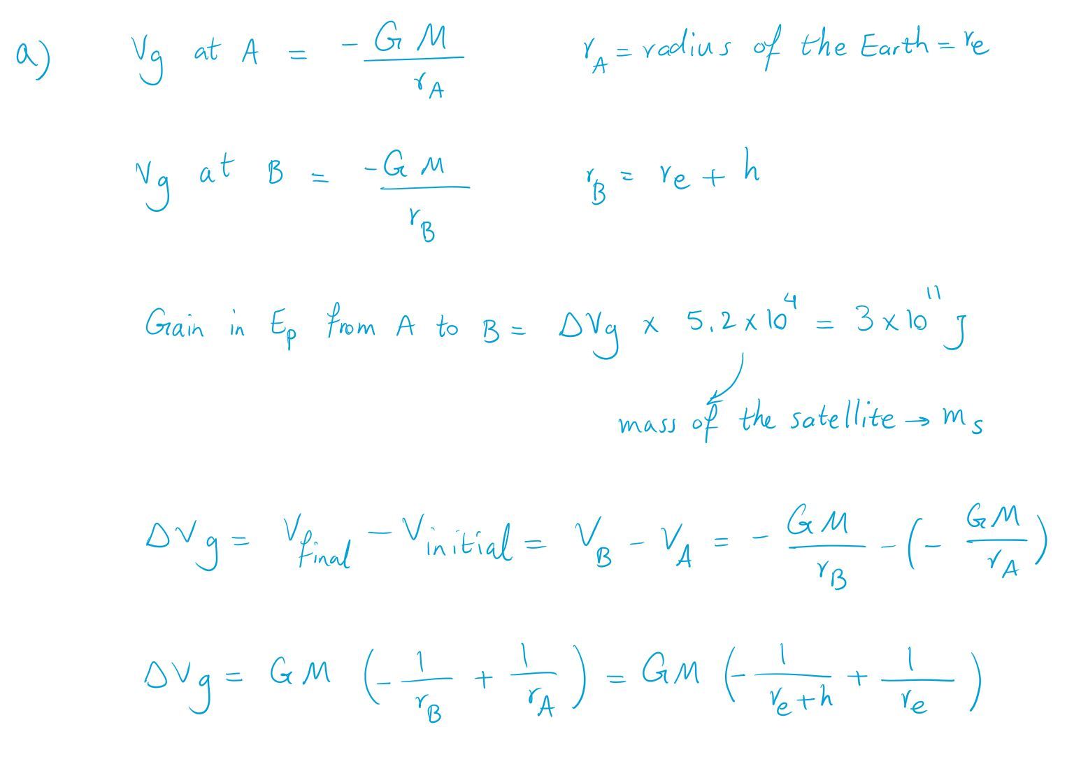
Ep of an object is the Vg at the position of that object multiplied by its mass.


The change in Ep (ΔEp) is positive if object is going away from the planet (P à Q).
ΔEp is negative when object gets closer to the planet (A à B).
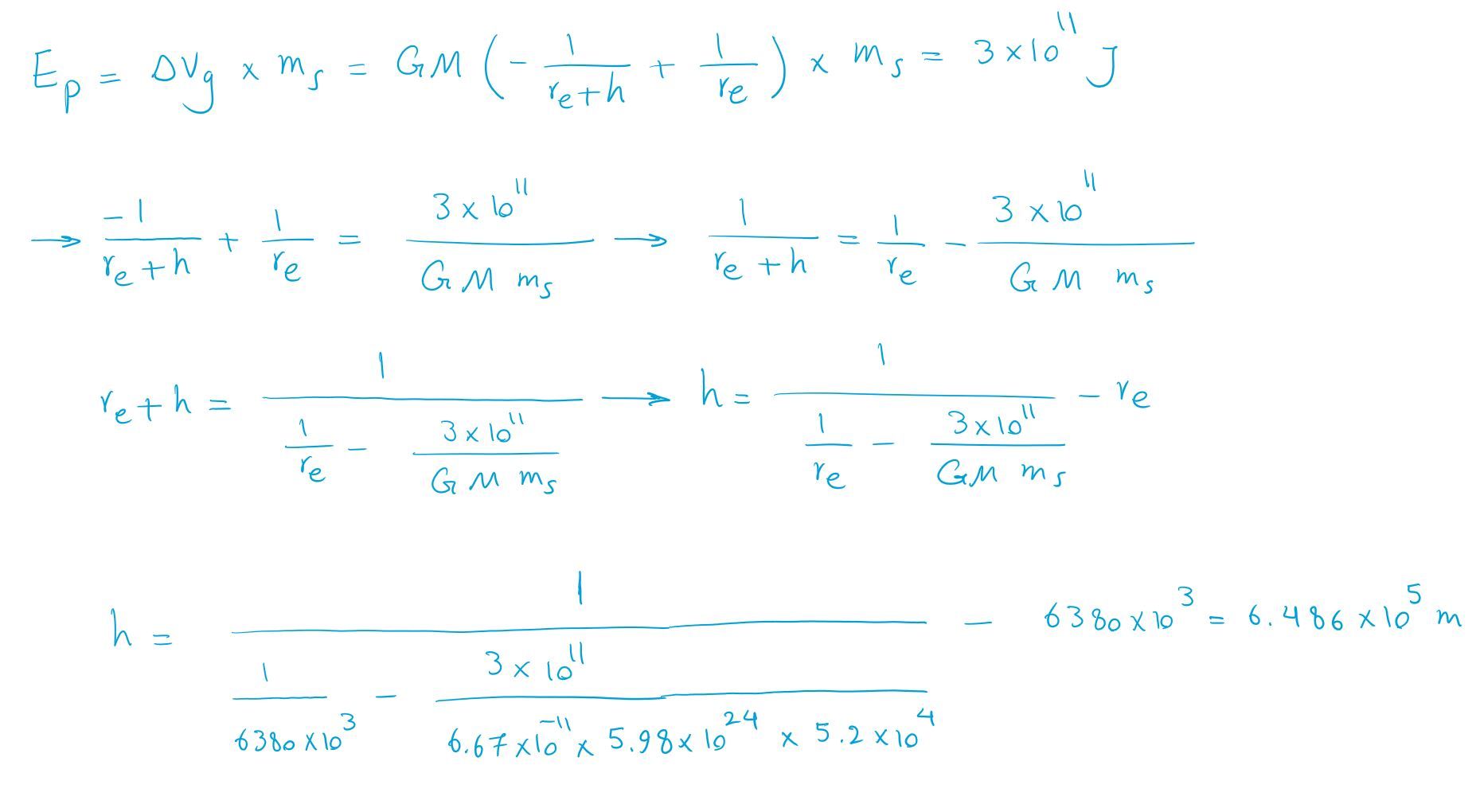
Example 4:
A satellite of mass 5.2 × 104 kg is initially at rest on the surface of the Earth and then is fired so that it travels the path shown below.
- If 3.0 × 1011 J of work is done to take the satellite from A to B, find the distance h (distance between points A and B);
- Determine the change in Vg of the satellite when it travels on its orbit around the Earth from B to C.
Radius of the Earth (re) = 6380 km
Mass of the Earth = 5.98 × 1024 kg.

b) On the circular orbit around the Earth, the distance of the satellite from the centre of the Earth does not change, so there is no change in Vg!
5.4.4-2 escape velocity
To escape a planet's gravity, an object must have more kinetic energy than the gravitational potential energy it gained to reach that height.

The velocity obtained from the above formula is the minimum needed to escape the pull of gravity of a planet. This is called the escape velocity.
If the object is to go further into the outer space it will need more kinetic energy.
The escape velocity only depends on mass of the planet!
Escape velocity of a gas atom:
The atmospheric composition of a planet depends on its temperature and mass.
Temperature determines the speed of the gas particles, and the mass of the planet determines the escape velocity from the planet!
Average speed of a gas atom is related to temperature with the following formula:

NOTE: If Crms is bigger than escape velocity, the gas atom will escape to the outer space!
.
.
Revise and Get Paid!
If you like taking summary notes of lessons and solving past papers, see the Join Us page!