OCR Physics

Ideal Gas
5.1.4 Ideal Gas Laws:
5.1.4-1 Mole
1 mole of a substance contains 6.02 x 1023 particles = NA (Avogadro’s constant).
The definition of mole: is the number of atoms of carbon-12 that add up to have a mass of 12 grams, and that number is 6.02 x 1023.
Also for other elements, 1 mole has a mass equal to their mass number (nucleon number) in grams!
e.g.

Or 1 mole of U-235 has a mass of 235 grams!
The number of moles of a substance is given by:

Molar mass (M): mass of 1 mole of a substance which is usually the same as the mass number (nucleon number) of the element in grams (see above).
5.1.4-2 Kinetic Theory of Gases
This theory is used to describe behaviour of gases such as temperature and pressure, in terms of the particles. We assume gas is deal and these are the assumptions we make:
- Volume of a particles is negligible compared to volume of the container;
- Collisions between the particles, and particles and walls of the container is elastic with no friction;
- Time of collisions is negligible compared to time spent between collisions;
- There are no intermolecular bonds between particles, the only force is due to collisions;
- The particles are in constant random motion (Brownian motion), with variety of velocities, with a certain mean (average) velocity.
- Gas particles are identical, spherical, and hard;
We change 3 parameters in ideal gases:
- Pressure: originates from force from collision of particles with walls of the container. As particles’ motion is random and we assume an average velocity for them, the collision force is distributed uniformly on walls of the container.

- Volume: because of Brownian motion, the molecules fill up the container and volume of a gas is the volume of the container.
- Temperature: increasing the temperature increases the KE of the particles (only KE! as we assume no bond between particles) and average velocity. In a fixed volume this increases the pressure. Or if we allow volume to change we can keep pressure constant.
5.1.4-3 Gas Laws
Boyle’s Law: if we keep temperature constant, volume and pressure are inversely proportional (for a fixed mass of ideal gas of course!):

Pressure- Temperature Law (Amonton’s Law): if we keep volume constant, the pressure is directly proportional to absolute temperature (in Kelvin):

Absolute zero:
By keeping volume constant, if we decrease temperature (KE of particles), pressure will decrease too. At absolute zero particles of gas stop moving, hence pressure is zero. In practice this does not happen because normally at very cold temperatures the gas will condense but if it didn’t, we would get a straight line like this:

Charles’ Law: if we keep pressure constant, the volume is directly proportional to absolute temperature (for a fixed mass of ideal gas of course!).

Gas Laws Combined:

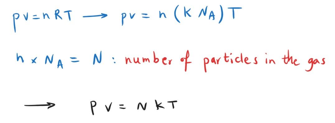
5.1.4-4 The equation of state of an ideal gas:

The Boltzmann constant k:

The equation of state of ideal gas can be written as:

5.1.4-5 Root mean Square speed Crms:
Particles of a gas move randomly with range of velocities, in all directions. So if we took the average velocity it would be zero because for any direction there will be another velocity in the opposite direction. Hence we define the root mean square of velocities or r.m.s : Crms.
To find Crms:
- Square the speed of each particle: c2
- Average of the squared speeds is found:
(mean square speed!)
- Take a square root of the above!
= Crms.
If there are N particles in the container each with their own velocities: c1, c2, c3, … cN, then the crms is equal to:
We use mean square speed in the following formula:

5.1.4-6 Maxwell-Boltzmann distribution
At any temperature, particles have a range of speeds. The hotter the gas, the larger the spread of speeds. This is called Maxwell-Boltzmann distribution. See below:

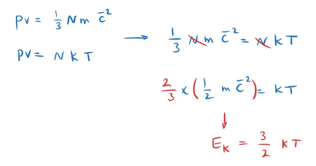
5.1.4-7 internal energy of a gas
For an ideal gas we assume there is no intermolecular bonds between the particles (the only force is from the collisions). This means the potential energy of an ideal gas is zero. So the internal energy is only in the form of kinetic energy of particles.
Mean kinetic energy of a gas Ek:
We can derive an equation for mean kinetic energy of a gas Ek:

This equation shows at the same temperature particles of different gases have the same mean KE! But those with larger mass, will have smaller Crms!
Revise and Get Paid!
If you like taking summary notes of lessons and solving past papers, see the Join Us page!